
그림에서처럼 입자의 운동을 감시하다가 깜박 조는 순간 입자 운동이 사라지고 확률적인 파동 상태가 되었다가 졸음이 깨면 다시 언제 그랬느냐는 듯 도깨비처럼 입자 상태로 되돌아 온다.
이런 양자역학적 물리 현상을 기술하기 위해서 고등학교 수준의 입자 운동으로부터 양자역학에서 자주 사용하는 슈뢰딩거 파동 방정식을 유도해 보자. 양자역학의 핵심 출발점인 파동과 입자의 이중성이라는 전제로부터 운동에너지와 포텐셜 에너지의 합으로 구성되는 Hamiltonian 에 의해 슈뢰딩거 방정식을 유도해 보자.
운동하는 자유입자는 뉴튼의 고전 물리학에서 에너지 E 는 Hamiltonian 즉 운동에너지와 포텐셜 에너지의 합으로 나타낼 수 있다.

한편 양자역학에서는 자유 입자임에도 불구하고 다음과 같이 에너지 E 와 운동량 p를 가지는 파동으로도 묘사할 수 있다.

k 는 wave number 이며 ω 는 각진동수(angular frequency) 이다. 이 식의 형태를 살펴보면 고전 물리학적 파라메터인 (k, ω) 를 사용하여 호이겐스의 원리를 적용하기에 적합한 표현이다. 하지만 이러한 고전 물리학적 관점으로부터 입자와 파동의 이중성을 동시에 갖는 양자 역학적인 관게식을 유도하기 위해서 아인슈타인의 광량자론과 드브로이의 물질파 관계식을 적용하자.

이 두 관계식을 파동함수에 대입하면 다음과 같이 파동함수가 얻어진다.

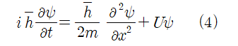
자유입자의 고전 물리학적 표현인 (1)식이 파동 특성을 가진다면 다음 식이 성립해야 한다.

다음과 같이 상기 파동함수의 편미분들을 구해서 (3)식에 대입하자.

일차원적인 표현을 3차원으로 확장하면 2계 편미분이 라플라시안으로 대체된다.

여기서 짚고 넘어가야 할 점은 파동 함수의 의미일 것이다. 이 점에 관해서는 닐스보어, 하이젠베르그, 슈뢰딩거와 같은 유수의 양자역학 전문가들의 의견에 따르면 파동함수는 공간상에서 자유입자를 발견할 수 있는 확률 파동함수로서 다음의 관계식을 만족해야 한다.
이런 특성의 파동함수를 기술하기 위해 (6)식 적분의 첫 번째 식에서처럼 Dirac 이 일종의 3차원 공간상의 벡터와 유사하게 힐베르트 공간상의 bra 벡터와 ket 벡터를 정의하였다. 아울러 양자역학에서 취급하는 물리량으로서는 일차원인 경우 위치 좌표인 x, 운동량인 p 그리고 포덴셜 에나지 U 정도인데 이들은 뉴트 역학에서처럼 직접 계산되는 것이 아니고 반드시 확률 파동함수를 사용하여 통계적인 기대값으로 계산해야만 한다.

특히 슈뢰딩거 방정식은 확률 파동의 특성을 잘 나타내긴 하지만 측정(Measurement) 또는 관찰(Observation)로 인해 양자 상태가 붕괴(Collapse)하여 확정적인 입자 상태로 전환되는 과정을 나타내지는 못한다.
죠셉슨의 초전도체 접합 소자를 이론적으로 설명하기 위해서 슈뢰딩거 방정식의 공간적인 특성을 배제해 버리면 즉 라플라시안 항이 영이되므로 단지 확률 파동함수의 시간적 변화율은 확률 파동함수에 비례하게 된다는 Ginzburg-Landau wave form 근사이론이 얻어지게 됨을 알 수 있다.
'양자컴퓨팅 물리학' 카테고리의 다른 글
| 세계 최초로 젠슨황은 2025년 말 깐부치킨에서 닭다리를 뜯... 파인만 교수는 (0) | 2026.02.25 |
|---|---|
| 양자 컴퓨팅 관문 돌파를 위한 블로그 목차 (0) | 2026.02.02 |
| 물리학자가 만드는 양자 컴퓨팅 명령들: 단일 큐비트 제어, 2개의 큐비트로 구성된 Transmon (0) | 2026.01.02 |
| 양자 컴퓨팅까지 ∙∙∙III 초전도체에 생성된 Cooper pair 의 Qubit 화 (1) | 2025.12.05 |
| 양자컴퓨팅 관문 돌파를 위한 블로그 목차(사본) (0) | 2025.11.21 |