
원자 하나로 이루어지는 큐비트를 물리적으로 제어할 수 있는 방법을 알아보자. 죠셉슨 접합소자에서 절대온도 0K 가까이에서는 외부 전압 V를 가하지 않더라도 자체적으로 서로 반대되는 스핀을 가지는 2개의 전자로 구성된 Cooper pair 들의 전류 흐름이 일어난다. 별도의 콘덴서와 초전도체 접합소자와 병렬회로를 구성하여 이 초전도 전류 현상을 포함할 수 있도록 하면서 필요시 마이크로 웨이브를 사용하여 회로를 공진시켜 중첩 상태나 붕괴 상태를 조작할 수 있는 밥법을 살펴보자.

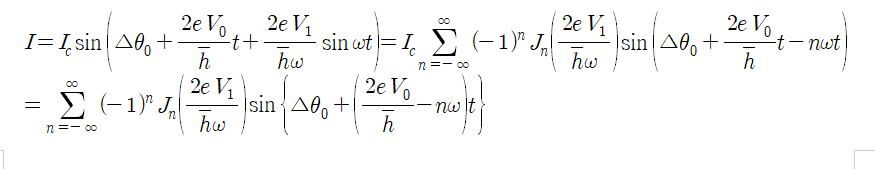
DC 전압과 AC 전압으로 구성하여 전압 차이
를 가할 때 일어나는 결과를 살펴보자. 위상차는 다음과 같이 주어진다.

죠셉슨의 전류 관게식에 대입 후 FM 라디오 스펙트럼 처리 공식을 사용하여 다음과 같이 1종 베셀함수를 사용한 급수형으로 전개가 가능하다. 이 기법은 통신 분야에서 잘 알려져 있다.

n은 정수이며 각 주파수 ω 는 전원 파워 실험장치에서 조절할 수 있는 파라메터이므로 다음과 같이 두자,

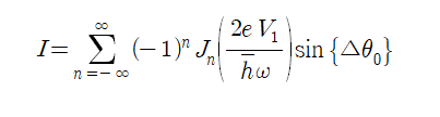
전류는 다음과 같이 간략화 된다.

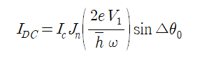
전압 V0 가 전원 파워에서 주어질 때 주어질 때 죠셉슨 접합을 통해 흐르는 전류의 DC 성분은 다음과 같이 주어진다.

참고로 1종 베셀 함수는 다음과 같다.

실험에서 마이크로파의 각 주파수 ω 의 정수배로 바꾸어 줌에 따라 1종 베셀함수 Jn 에 비례하는 평탄한 전류값을 보여준다,

RCSJ 회로 모델

죠셉슨 접합소자의 RC 화로화는 죠셉슨 특성뿐만 아니라 추가적으로 절연 박막과 연관된 콘덴서 및 저항 특성을 보여 준다. 죠셉슨 소자만으로는 제어가 가능한 회로 구성이 불가능하며 콘덴서 및 저항을 추가함으로 인해 전압 V 의 교류 성분 중 주파수를 변동시킴으에 의해 제어가 가능한 2계 상미분 방정식이 얻어짐을 알 수 있다.
그림과 같이 병렬 회로 구성 시 Krichoff 의 전류 법칙은 다음의 상미분 방정식을 낳는다.

죠셉슨의 전압과 위상 관계식에 대입하면 다음의 2계 상미분 방정식이 얻어진다.

고유 각진동수와 Q factor 는 다음과 같이 주어진다.

포텐셜 에너지 U를 도입하여 위 방정식을 다시 써보자.

I=0 이거나 0<I<IC 면 죠셉슨의 전압 위상 관게 식에서 전압 V 와 위상차의 시간 미분 및 I=0 이면 저항 R 과 콘덴서 C 에 전류가 흐르지 않는다.
I=0.5IC 인 경우에 전압 장벽이 있긴 하지만 양자 터널링 효과로 인해 어느 정도 전류가 흐를수 있음에 유의하자.
I>IC 이면 위상차의 시간 미문이 더 이상 영이 아니다. I=IC 이면 포텐샬 에너지의 위상차에 대한 경사가 영이 되어 아래로 내려갈 준비가 된 상태이며, 전류가 흐르가 된다.

RCSJ 모델에서 죠셉슨 접합소자의 위상차는 기울어진 빨래판 형태의 에너지 포텐셜 하에서 운동하는 질점처럼 행동하며, 이 에너지 포텐셜은 불균일한 에너지 간격을 가지게 된다. 이러한 에너지 특성을 가지는 회로를 transmon qubit 이라 한다. 포텐샬 에너지가 anharmonic 한 특성으로 인해 에너지 레벨이 불균일하여, 가장 낮은 2개의 에너지 레벨을 2개의 레벨 |0> 과 |1> 의 computational basis 시스템으로 취급할 수가 있다. 죠셉슨 접합 소자는 에너지 소산이 없는 즉 dissipation free nonlinear inductor로 볼 수 있다.
RCSJ 단일회로로 그림 (a)와 같이 transmon qubit(transmission-line shunted plasma oscillation qubit)이 구성된다. plasma oscilation 은 초전도체 격자 내부에 나타나는 Copper pair 들이 길이 방향으로 진동하는 특성을 의미한다. 한편 1억도 이상 가열된 토카막 핵융합 장치 내부의 플라스마도 유사한 거동을 보여준다.

단일 큐비트에 관한 양자 컴퓨팅을 위한 명령어로서 파울리 게이트들을 참조할 수 있다. 필요에 따라서는 2개의 죠셉슨 소자를 병렬로 합성하여 그림 (c) 와 같이 에너지 간격을 4개로 하는 마이크로 웨이브 주파수 튜닝이 가능한 2개의 큐비트로 이루어진 transmon qubit 시스템을 구성할 수도 있으며, 이는 Controlled NOT 게이트 명령에 사용되고 있다.
transmon은 기존의 전하 큐비트가 전하 노이즈에 너무 민감하다는 단점을 해결하기 위해 등장했다. 병렬로 큰 값의 켜패시터와 병렬 회로를 구성하여 외부 전하 변화에 따른 에너지 준위의 출렁임을 억제(shunting)하는 것이 핵심이다. 이러한 회로에서 큐비트는 inductance 효과가 큰 소자로서 역할을 하게 된다.
https://www.youtube.com/watch?v=cb_f9KpYipk&t=52s
'양자컴퓨팅 물리학' 카테고리의 다른 글
| 양자 컴퓨팅까지 ∙∙∙III 초전도체에 생성된 Cooper pair 의 Qubit 화 (1) | 2025.12.05 |
|---|---|
| 아두이노에서 양자 컴퓨팅까지 ∙∙∙ I 현재의 컴퓨터 기술 (0) | 2025.10.26 |