https://courses.physics.illinois.edu/phys525/sp2025/units/sc3.pdf
아래의 내용은 일리노이대 물리학과 교육용 자료인 위 PDF 파일의 내용을 일부 요약한 것입니다.


1962년 케임브리지대 대학원생이었던 브라이언 죠셉슨은 원자크기 수배의 얇은 두께를 가지는 산화막 절연체 즉 박막 절연체를 초전도체와 초전도체 사이에 생성시킨 시료에서 정대온도 기준 0K 상태에서 초잔도체 간의 전압 차이가 영인 상태에서도 거시적인 규모의 전류 흐름을 관찰할 수 있었다. 이 공적으로 1972년에 노벨상 수상자가 되었다.
초전도체 물질 결정 구조가 절대온도 0K 에 접근하게 되면 초전도체 물질의 결정을 구성하고 있는 + 전하를 띄는 격자들과 – 전하를 띄는 페르미온(Fermion) 자유전자들이 서로 끌어 당겨 격자들의 거리가 가까워지게 되면서 격자 진동이 발생하여 음파의 전파속도와 동일한 속도로 포논(phonon)이라 불리우는 격자 구조로부터 파동의 전파가 일어난다. 페르미온(Fermion) 은 전자와 같이 스핀 값이 1/2, 3/2, ... 처럼 분수형태의 스핀 값을 가지게 되는 놈들을 일컫는다. 참고로 스핀 값이 정수 값을 가지는 경우 보손(Boson)이라 한다.

초전도체가 되기 전 상태에서는 결정 원자로부터 떨어져 나온 자유 전자들이 결정 격자들 사이에 분포하고 있으나 절대 온도가 0K에 근접함에 따라 결정 격자가 서로 당기는 힘에 의해 격자의 축소가 일어남과 아울러 전자의 흐름이 일어나게 된다.

아울러 결정 격자 사이에 위치하고 있는 서로 밀어내는 전자들이 Cooper pair를 형성하면서 전류의 흐름이 일어게 된다.

아래 그림은 규칙적인 배열의 결정 격자가 왜곡과 아울러 3차원적으로 형성된 Cooper Pair의 흐름을 보여준다. Cooper pair를 구성하는 2개의 전자들은 스핀 값이 서로 반대 되는 전자들로서 Cooper pair 전체로는 스핀 값이 영(?)이 된다.

쿠퍼 쌍의 특성과 행동에 관한 Gemini 의 응답
쿠퍼 쌍이 형성된 후, 이들은 다음과 같은 행동 특성을 보이며 초전도 현상을 일으킨다.
| 특징 | 설명 |
| 보손적 행동 | 전자는 스핀(1/2) 인 페르미온이지만, 두 전자가 결합한 쿠퍼 쌍의 전체 스핀은 0 또는 1인 정수 스핀을 가지게 된다. 즉, 페르미온의 집합체임에도 **보손(Boson)**처럼 행동한다. |
| 응축 (Condensation) |
보손은 파울리 배타 원리를 따르지 않기 때문에, 수많은 쿠퍼 쌍들이 동일한 가장 낮은 양자 상태(k=0 운동량 상태, 즉 전체 운동량이 0인 상태)로 응축된다. 이를 보스-아인슈타인 응축과 유사하게 설명하기도 한다. |
| 저항 없는 흐름 | 응축된 쿠퍼 쌍들은 단일한 양자 파동 함수로 움직이게 되며, 격자나 불순물과의 충돌(산란) 없이 집단적으로 움직인다. 전기장이 가해지면 이 응축된 전체가 저항 없이 흐르게 되며, 이것이 전기 저항이 0 이 되는 원리이다. |
| 에너지 갭 | 초전도 상태에서는 쿠퍼 쌍을 깨뜨리는 데 필요한 최소한의 에너지인 에너지 갭(Energy Gap)이 있다. 온도가 낮아질수록 이 갭이 커져 쌍이 안정화되며, 일반적인 열 진동으로는 쉽게 쌍이 깨지지 않는다. |
※ 여기서 중요한 점은 초전도체 내부에서 많은 수의 Cooper pair 들이 형성됨에도 불구하고 이들이 가지는 포텐셜 에너지가 아주 낮아 안정적인 상태를 유지하면서 이들 전체가 일정하게 동조되어서인지 Ginzburg Landau 에 의해 제안된 거시상태의 단일 파동함수로 기술된다는 점이다. 공간이나 시간 축상에서 하나의 파동함수로 기술이 가능하다는 점이다.

하지만 양자역학의 지배 방정식이라 볼 수 있는 슈뢰딩거 방정식의 경우 좁쌀만한 전자 하나를 가지는 수소 원자 문제 정도에 대해서 깔끔한 엄밀해를 제공하지만 그 나머지는 모두 복잡해서 풀어낼 수가 없다. 그런데 초전도체 내부에 분포된 Cooper pair 들의 경우 Ginzbyrg Landau 에 의해 단일 글로벌 파동함수로 기술할 수 있음은 물리학적인 세계의 규칙성에 놀라울 따름이다. 여기서 단일 파동함수란 아래의 슈뢰딩거 파동 방정식의 해인 파동함수를 뜻한다.
위 그림에서처럼 초전도체 내부에는 절대 온도 0K 근처에서 Cooper pair 라 불리는 수많은 전자쌍 들이 결정 격자 내에서 격자와 상호작용하며 생성됨에도 불구하고 이들은 아래와 같이 하나의 글로벌 파동함수로 기술될 정도로 질서 정연한 움직임을 보인다.

즉 아래 그림에서처럼 파동이 진행할 경우 절연박막 앞뒤로 위상 차에 의한 wave front 위치가 불균일해 지지만 통과 후의 파동함수는 통과전의 파동함수와 동일한 파장이나 파동 전파 속도를 보이게 된다.

확률밀도 파동함수를 다음과 같이 가정하여

슈뢰딩거 방정식에 대입하면 다음 형태의 헬름홀츠형 방정식이 얻어진다.

일차원 문제에 있어서 자유입자 1개에 대해서그나마 단순한 형태의 다음과 같은 엄밀 해를 얻어낼 수 있다.

만약 초전도체의 경우에도 Ginzburg Landau 파동함수처럼 단일 파동함수로 모델링이 가능하다면 즉 초전도체 1 과 초전도체 2 에서의 파동함수는 위상(Phase) 차이를 가지는 양자역학적인 해를 얻을 수 있음을 의미한다.
초전도체 1 과 2 에서의 파동함수는 전자 분포를 사용하여 다음과 같이 나타낼 수 있다.

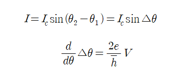
두 초전도체 간에 흐르게 되는 전류는 각 초도체의 파동함수 위상차를 사용하여 다음과 같이 주어진다. 이 결과들은 Feynman 의 저서나 팅캄의 초전도체 저서에서 단일 파동함수 조건을 사용하여 유도할 수 있다.


초 전도체 소자들 사이에서 가해지는 전압 차가 V 일 때에 절연체를 통해 흐를 수 있는 전류는 다음의 그래프 처럼 주어진 다고 죠셉슨이 예측했다. Ic 는 임계 전류 값을 뜻한다.
벨 랩의 연구원이었던 John Rowell 과 Phil Anderson 이 1963년 처음으로 죠셉슨 효과를

실험적으로 관찰하였다. 이 중
옥스퍼드대 물리학가 전공이었던 John Rowell 이 연구 휴가로 케임브리지 대학을 방문하였고 대학원생이 어었던 죠셉슨과 조우하게 되었으며, 그 후 돌아와서 죠셉슨이 예측했던 초전도체 실험 장치 제작 및 실험이 이루어졌다. 초전도체 제작에는 납과 주석 두 가지가 사용 화학증착 공정에 의해 생성되었으며 이 두 물질의 접합 중간에 얇은 산화층이 형성 되어 약한 결합의 절연성이 부가되었다.
이 전의 초전도 실험에서 실패했던 이유 중의 하나는 0.5 가우스 수준의 지구 자기장의 영향이었으므로 이를 억제할 수 있는 실험 환경을 조성하고 필요하다면 인공적으로 자기장을 조절해서 가해야 한다. 이처럼 자기장에 민감하다는 사실은 죠셉슨 접합소자가 코일처럼 리액턴스적인 특성이 강하다는 점을 의미하므로 Transmon 과 같은 2개의 큐비트들로 이루어지는 양자 회로를 구성할 때 유의해야 한다.
데이터의 원으로 표시된 영역은 V=0 볼트 전압 조건에서 0.65 mA의 피크 전류가 흐르는 것을 보여주는데, 이것이 바로 조셉슨 효과이다. 또한, 그들은 이 전류가 초전도체 면에 수직하게 인가된 자기장의 함수로 진동하는 것도 관찰했다. V < 2 mV의 평탄한 영역은 초전도 에너지 갭을 나타낸다. V > 2 mV의 경우, 전류X전압 즉 I 곱하기 V 곡선은 옴의 법칙을 따르는 곡선이 되며, 전류는 전압에 비례하게 된다.
자기장 변동에 따른 양자의 중첩상태인 Cooper Pair 형성과 붕괴

John Rowell 은 자기장이 증가함에 따라 임계 전류(Ic)가 진동하는 패턴을 보이면서 감소한다는 점을 관찰했다. 즉 이 패턴은 죠셉슨 이론에서 예측된 프라운호퍼 회절 무늬와 일치한다. 예를 들어 자기장이 6.5 Gauss 일 경우 가해진 전압 V=0 일 때 흐르는 전류 값의 (1/600) 배로 떨어지는 것을 관찰할 수 있었다.
즉 자기장 영향이 강할 경우 초전도체에 흐르는 전류의 근원인 Cooper pair 들이 해체되어 자유전자라 볼 수 있는 페르미온으로 되돌아가게 된다. Cooper pair 는 스핀 값이 서로 반대인 전자 쌍으로 이루어지므로 즉 양자 |1> 과 |0> 이 중첩된 상태라 볼 수 있으며, 따라서 자기장 변동으로 인해 붕괴되면 하나의 스핀 값을 가지는 즉 |1> 이든지 |0> 에 해당하는 페르미온 자유입자가 된다는 점이다.
이와같이 결정 격자 속에서 생성된 Cooper pair 로 Qubit 을 생성할 경우 인접한 Cooper pair 와의 연결(Connectivity) 에 공간적인 제약이 있을 수 있다. 아이온큐 공동 창업자인 김정상 박사의 의견에 의하면 즉 여러 개의 Qubit 들의 동시에 연결이 대단히 어려우므로 대단위 Qubit 형성에 따른 양자 컴퓨팅이 어려워진다고 한다.
아이온큐 김정상 교수: https://www.youtube.com/watch?v=9Katk-yayaA&t=1948s
초전도체 물리학의 원리에 따라 절대 온도 0K 에서 자기장을 조절함에 의해 스핀값이 0 인 일종의 보손이라 볼 수 있는 Cooper pair 의 양자화된 포텐셜 에너지 상태를 조절할 수 있게 되었다. Cooper pair 가 갖혀 있는 포텐셜 장벽 밑으로 3단계의 양자화된 에너지 레벨이 있으며 이 중 첫 번째 바닥 에너지 수준과 그 다음 에너지 수준을 |0> 과 |1> 로 둘 수 있으며, 아울러 자기장 뱐동을 가한 상태에서 일정한 주파수의 마이크로파 교류 전압을 가하게 되면 Cooper pair 가 포텐셜 장벽을 넘어 터널링이 일어날 수 있게 된다. 1983년 Urbana Champaign 일리노이대학의 리게트 교수와 Caldeira 의 실험에서 밝혀진 사실이다. 즉 일종의 Cooper pair 의 양자 상태가 붕괴 되어 하나의 스핀 값을 가지는 즉 |1> 이든지 |0> 에 해당하는 페르미온 자유 전자가 되어 옴의 법칙에 따른 전류가 흐르게 되며, 이러한 특성을 Qubit 으로 이용이 가능해진다. 이러한 초전도체의 물리적 특성이 양자 컴퓨팅을 위한 기술의 출발점이 아닌가 한다.
2개의 큐비트로 구성되는 transmon 에 관해서는 다음 블로그를 참조하자.
https://ejleep1.tistory.com/1683
규비트(Qubit 제어)와 2개의 큐비트가 연동된 Transmon
원자 하나로 이루어지는 큐비트를 물리적으로 제어할 수 있는 방법을 알아보자. 죠셉슨 접합소자에서 절대온도 0K 가까이에서는 외부 전압 V를 가하지 않더라도 자체적으로 서로 반대되는 스핀
ejleep1.tistory.com
한편 이 내용은 결국 미시적인 양자 역학적 관점에서의 초전도체 현상에서 시작하여 거시적 양자 터널링 실험에 성공하게 됨에 따라 2025년 3인의 노벨 물리학상 수상을 가능케 하였으며 양자 컴퓨팅에서 초전도 큐비트 응용을 가능하게 하였다.
2025 노벨 물리학상이 미친 업적인 이유
https://www.youtube.com/watch?v=9RZIjo-ut-8
Under construction
'양자컴퓨팅 물리학' 카테고리의 다른 글
| 물리학자가 만드는 양자 컴퓨팅 명령들: 단일 큐비트 제어, 2개의 큐비트로 구성된 transmon (0) | 2026.01.02 |
|---|---|
| 아두이노에서 양자 컴퓨팅까지 ∙∙∙ I 현재의 컴퓨터 기술 (0) | 2025.10.26 |