Step by step guide to Deutsch's Algorithm
https://www.jonvet.com/blog/math-behind-deutsch-algorithm
Step by step guide to Deutsch's Algorithm
Demonstrating quantum advantage at the example of Deutsch's algorithm. How quantum superposition and interference to can help to solve specific problems faster.
www.jonvet.com
※ The Deutsch-Jozsa Algorithm — Math, Circuits, and Code: Quantum Algorithms Untangled

개론
모든 확률 분석은 주사위 놀이나 동전 던지기 같은 게임에서 비롯된다. 이 원리는 양자 컴퓨팅에도 필연적으로 적용되지만, 양자 컴퓨팅 환경에서의 야바위 게임의 경우, 그 의미와 본질이 크게 달라지는데, 바로 이 문제를 다루는 과제가 도이치 알고리즘이다.
이런 동전 던지기 게임 자체가 야바위스랍게 느껴지기때문에 양자 컴퓨팅의 도이치 알고리듬은 더 한층 야바위성이 강한 그런 주제에 해당한다. 과연 어떤 작자들이 이 수학적인지 물리학적인지 조차 분명치 않은 문제를 연구했는지 정신 상태가 상당히 의문스러웠는데 자료를 찾다보니 1992년에 물리학자 출신들인 Deutsch 와 Jozsa 가 연구 결과를 제시하였다. 참고로 그 당시에 양자 컴퓨터 조차 없았는데 무슨 연구 실적을 내려고 그랬는지 읽어 보면 이해하기 쉽지 않은 측면이 있어 보인다.
그래도 양자 컴퓨팅 알고리듬 공부에서 피할 수 없는 첫번째 관문이기에 어쩔수 없이 다루어 보도록 하자. 설혹 읽어 본 후에도 뭔 소린지 모르겠다 라는 경우에도 그러려니 하고 다음 관문으로 넘어가길 바란다. 그렇다면 두번째 관문은 무엇일까? 우리말로는 "건초더미에서 바늘찾기"인데 그루버 알고리듬이라 한다. 세번째로는 거대한 정수의 소인수 분해 문제로서 이 문제 해결시 비트코인 암호화폐 비밀번호 해독도 가능해진다. 즉 세번재 문제의 성공은 세상이 바뀔 수도 있다는 점이다.
문제 서술
도이치 알고리즘에서의 입력과 출력 0 과 1 은 동전 던지기 게임에서 앞면과 뒷면을 나타낸다고 가정하자. 0 또는 1 을 입력 변수로 하여 출력도 0 또는 1 을 반환하는 함수 f(x)가 있을 때, 이 함수가 상수 함수인지 균형 함수인지 판별해 보도록 하자.
동전 던지기 도박에서는 항상 앞면과 뒷면이 입력값이 될 수 있으며 출력값 또한 항상 앞면과 뒷면이 된다. 따라서 그러한 함수 f(x) 는 존재하지만 함수의 구체적인 형태는 알 수 없다. 야바위 게임의 경우 항상 남을 등쳐먹어야 하므로 함수를 일정한 패턴으로 조작이 가능해야 하지만 진정한 확률 게임이라면 함수 자체를 알아내서 식으로 쓰기는 불가능하다고 볼 수 있다.
상수 함수는 입력값에 무관하게 출력값이 항상 0 이거나 항상 1 인 함수를 의미한다. 균형 함수는 한 입력값에 대해서 출력값이 0이면 다른 입력값에 대해서는 반드시 1인 함수이다.
함수가 단일 비트(0 또는 1)를 입력으로 받기 때문에 가능한 함수는 다음 4가지뿐이다.
2가지 가능한 함수는 상수 함수이다
1.1 f(0)=0 및 f(1)=0 이면 f 는 상수 함수
1.2 f(0)=1 및 f(1)=1 이면 f 는 상수 함수
2. 나머지 가능한 함수는 균형 함수이다.
2.1 f(0)=0 및 f(1)=1 이면 f 는 균형 함수
2.2 f(0)=1 및 f(1)=0 이면 f 는 균형 함수
도이치 알고리듬 문제는 주어진 함수의 출력 결과가 상수인지 균형인지를 결정하는 문제로서 고전적인 관점에서 보면 XOR 논리 문제와 유사하다. 동전 앞면과 뒷면을 입력으로 던질 때 둘 다 앞면이 나오든가 또는 둘 다 뒷면이 나오든가 아니면 하나는 앞면 다른 하나는 뒷면 또는 하나는 뒷면 다른 하나는 앞면이 나오는 경우로서 XOR 논리를 나타낸다.
The Classical Solution involves 2 queries.
고전적인 해결 방법은 두 번의 쿼리(query)를 필요로 한다.
이 문제를 고전적인 방식으로 접근하면 함수 f 가 상수 함수인지 균형 함수인지 판별하기 위해 반드시 두 번 호출해야 한다는 것을 쉽게 알 수 있다.
예를 들어, 입력값 0으로 함수를 호출하여 출력값이 1 이라면 f(0)=1 임을 알 수 있다. 즉 f(0)=1 이면, 1.2번 경우(상수 함수) 또는 2.2번 경우(균형 함수) 중 하나임을 알 수 있다.
하지만 두 경우를 구분하기 위해서는 입력값 1 로 함수를 한 번 더 호출해야 한다. 고전적인 관점에서 상수인지 균형인지 확인하려면 0 과 1을 각 1회씩 합 2 회를 던져서 결과가 1.1, 1.2, 2.1, 2.2 중에 어느 하나인지 확인해야 한다. 이러한 의미에서 고전적인 해는 2회의 쿼리(query)를 사용하는 셈이다.
The Quantum Solution by Deutsch Algorithm involves just 1 queries.
반면 도이치 알고리듬에 의한 해법은 다음의 원리에서처럼 단 하나의 쿼리만을 사용하여 해결이 가능하다는 점이다.
중첩: 큐비트 하나를 중첩 상태로 만든 다음 f(x) 를 적용한다. 이는 일시에 2개의 입력값 적용을 가능하게 한다.
위상 kickback: CNOT 게이트와 같이 제어된 양자 게이트 연산 중에 큐비트의 위상이 다른 큐비트로 "kickback"되는 현상이다. 아래의 설명에서 kickback 의 구체적인 내용을 파악하자.
Deutsch 알고리듬 개요
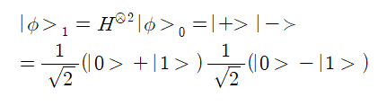
양자 상태 |0> |1> 에 해당하는 큐비트 x 와 y 를 준비하고 이들을 |φ>0로 둔다.
2개의 큐비트에 아다마르 게이트를 각각 적용하여 중첩 상태에 두고 |φ>1 으로 두자.
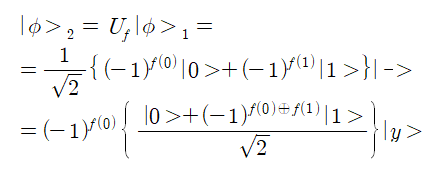
3. 4지 선택이 가능한 각 경우의 함수 f 에 대해 함수 Uf 를 적용하여 |φ>2 로 둔다.
4. 큐비트 x 에 아다마르 게이트를 적용하여 |φ>3 로 두자.
5. 큐비트 x 를 측정한다.
함수 f 가 상수 함수이면 측정값은 항상 0 이 된다. 균형 함수이면 측정값은 1 이 된다. 중요한 것은 이 함수를 한 번만 호출하면 된다는 점이다. Deutasch 알고리듬을 실행하기 위한 양자 회로는 다음과 같다.

XOR 연산자/모듈로 2 덧셈
XOR 연산자는 배타적 논리합(XOR) 또는 모듈로 2 덧셈이라고도 하며, 두 비트를 입력받아 서로 다르면 1, 같으면 0을 반환하는 이진 연산이다. XOR 연산자는 기호 ⊕로 나타낸다.
예를 들어, 4 ⊕ 2는 이진수 100 과 010의 XOR 덧셈 연산 결과를 의미하며, 이진수 110(십진수 6) 이 된다.
100
010
--------
110
문제 서술에서 얻어진 4개의 결론 1.1 ~ 2.2 는 XOR 논리를 사용하여 다음과 같이 2개의 경우로 압축이 가능하다,
f(0) ⊕ f(1) = 0 이면 상수함수 (※ 1.1 과 1.2 를 통합)
f(0) ⊕ f(1) = 1 이면 균형함수 (※ 2.1 과 2.2 를 통합)
※ f(0) 나 f(1) 의 값들이 0 또는 1 이되는 경우는 앞면 또는 뒷면을 뜻하지만 XOR 논리 연산 결과로서 0 또는 1 인 결과는 거짓(False, 상수함수)) 또는 참(True, 균형함수)을 뜻하므로 혼동되지 않도록 주의하자.
이렇게 압축된 결과는 최종 단계에서 큐비트 붕괴에 의한 측정 단계에서 양자 컴퓨팅 결과로 얻어질 수 있음에 유의하자.
Introducing a controlled quantum operation
Deutsch 알고리듬은 2개의 큐비트를 수반한다. 하나는 f(x) 평가를 위해 호출하는 큐비트 x 이며, 다른 하나는 위상 ”kickback“에 사용하는 큐비트 y 이다.

첫째로, 가역적이면서 unitary 특성을 가지며, 함수 f(x) 를 큐비트 x 와 y 에 적용하는 2큐비트 전담 게이트 Uf 로 정의되는 이는 오직 본 블로그의 Deutsch 알고리듬 문제에만 딱 한번 적용할 수 있으며, Deutsch 라는 연구자가 중요하다고 보는 양자 게이트 Uf 가 있다.
Uf 의 역할은 큐비트 상태 ∣x ⟩와∣y ⟩를 ∣x⟩와 | y ⊕ f(x) ⟩로 매핑하는 것이다.
⊕ 기호는 XOR 논리 연산자를 뜻하며, f(x) 는 앞서 설명한 1.1 ~ 2.2 의 4 경우를 뜻한다.
Uf 의 적용은 f(x) 의 값에 기반하여 양자 상태 y( |y> )를 변경한다. 즉 양자 상태 x( |x>) 가 양자 상태 y( |y> ) 를 제어하는 것이다,
상수 함수인 f(x)=0 인 즉 x=0 이거나 1 인 경우 XOR 논리를 포함하는 Uf 가 어떻게 작용하는지 알아보자.
|x> |y> |x> |y ⊗ f(x)>
|0> |0> → |0> |0 ⊗ 0> = |0> |0>
|0> |1> → |0> |1 ⊗ 0> = |0> |1>
|1> |0> → |1> |0 ⊗ 0> = |1> |0>
|1> |1> → |1> |1 ⊗ 0> = |1> |1>
결과를 관찰해 보면 Uf 작용 전의 큐비트 상태에 전혀 변화가 없음을 알 수 있다.
f(x)=x 일 때 즉 x=0 이면 f(0)=0 이고 x=1 이면 f(x)=1 이 되는 균형 함수의 사례를 살펴보자.
|x> |y> |x> |y ⊗ f(x)>
|0> |0> → |0> |0 ⊗ 0> = |0> |0>
|0> |1> → |0> |1 ⊗ 0> = |0> |1>
|1> |0> → |1> |0 ⊗ 1> = |1> |1>
|1> |1> → |1> |1 ⊗ 1> = |1> |0>
세 번째 와 네 번째 결과에 XOR 논리에 의한 변화를 관찰할 수 있다.
Walking through Deutsch Algorithm step by step
다음과 같이 2개의 큐비트 상태를 갖는 확률 파동함수 |ϕ >0 를 고려하자. ket 벡터를 연이어 즉 곱셈 상태로 둘 경우 더 이상 연산은 이루어지지 않으며 그냥 텐서 곱 형태를 유지한다. 여기서 텐서 곱은 AND 개념 정도로 이해하자.
|ϕ >0 = |0> |1>
각 큐비트 |0> 과 |1> 에 대한 아다마르 게이트 적용하여 확률 파동함수 |ϕ >1 을 생성하여 Uf 게이트에 입력한다.


뒷 부분을 앞 부분의 각항과 곱하여 전개하면 다음 식이 얻어진다.

게이트 Uf를 적용하여 ∣x⟩와∣y⟩를 ∣x⟩와 | y ⊕ f(x)⟩로 매핑하자.

식을 간략화하기 위해서 다음 식을 사용하자. a 는 f(0) 또는 f(1) 으로서 0 또는 1 의 값을 가질 수 있다. 함수 f 는 입력 및 출력 값을 제외하고 구체적으로 정의를 알 수 없기 때문에 아래의 식은 관계식이 될 수는 없고, 일단 수치적으로 만족은 하므로 항등식이라고 하기로 한다.

위 식을 대입하면 다음 결과가 얻어진다.

이 식을 살펴보면 Uf 적용 결과 양자 상태 |y>를 그대로 유지한 채 양자 상태 |x> 즉 |0> 의 ”kicked back the phase factor“에 해당하는 (-1)의 f(x)승을 괄호 앞으로 풀어내기 위해 다음의 항등식을 사용하면서

최종적으로 다음식이 얻어진다.

f(0) 와 f(1) 은 0 또는 1 이므로 그 차이는 0, 1, -1 이 될 수 있다. 차이가 0 이면 (-1)의 0승은 1 이 된다. 만약 그 차이가 1 또는 –1 이라면 (-1)의 –1승 이나 +1승이면 그 결과는 –1 이 된다.
그러므로 이 식의 제일 앞부분은 global phase 에 해당한다. (※ global 의 의미는 초전도체 죠셉슨 소자의 양자역학적 모델링 과정서 Ginzburg Landau 에 의해 복잡한 전자의 파동현상을 간략하고 정확하게 기술하기 위해 정식화시킨 single global wave function에서의 global을 의미하는 듯하다,)
여기까지 유도 후 step by step 블로그 저자로부터의 마지막 결론은 오히려 이해하기 어려운 측면이 있어, 그 대안으로 보다 단호한 결론을 보여주는 Wikipedia 의 Deutsch algoritm 의 해석 내용으로 대체하여 논의를 마무리 하고자 한다.
Deutsch–Jozsa algorithm Wikipedia
https://en.wikipedia.org/wiki/Deutsch%E2%80%93Jozsa_algorithm
다음 식은 앞에서 이미 유도 했던 빨간 박스친 부분에 한정하여 이 부분에 아다마르(Hadamar)연산을 실행하고 M 이라 두고 측정을 하자. 글로벌 phase 에 해당하는 (-1)의 f(0) 승은 중첩 상태 붕괴에 따른 측정 시에 별 영향이 없다고 볼 수 있다. 붕괴 시에는 복소수인 각 양자 상태 계수의 크기의 제곱의 합이 1.0 이 되는지 여부가 중요하다.

|y> 를 붕괴시켜 측정하면 |0> 이나 |1>에 대해서 1.0 의 값을 주지만 동전 던지기 f(x) 와는 아무런 관련이 없음에 유의하자. 즉 Uf 는 |x> 나 |y> 또는 f(x) 에는 아무런 영향을 미치지 않는다.
빨간 박스친 부분에 대한 아다마르 연산 결과는 다음과 같다.

양자 붕괴를 시켜 측정을 하면 |0> 이나 아니면 |1> 의 계수만 남게 되는데 그 값이 1 이 된다.
|0> 일 경우 계수는 다음과 같이 1 이 되어야 하므로 상수함수 조건이 얻어진다.

|1> 일 경우의 계수도 다음과 같이 1 이 되어야 하므로 균형함수 조건이 얻어진다.

결과적으로 함수 Uf를 사용 XOR 논리를 도입하여 큐비트를 조작한 결과 고전적으로는 상수 함수인지 균형 함수인지 결정하기 위해서는 각 2회씩의 query를 해야 하지만 1회의 query 로 결과를 얻을 수 있음이 밝혀진다.
2개의 큐비트를 사용하는 양자 컴퓨팅에서 과연 Uf 게이트를 초전도체 죠셉슨 소자로 구성된 예를 들자면 Transmon 에서 어떻게 하드웨어를 조작할 것인가도 큰 기술적인 문제로 남는다. 만약 1 query 당 1억 년이 걸린다면 반으로 줄일 경우 5천만 년의 시간을 절감할 수 있다는 논리이다. 양자 컴퓨팅 알고리듬 문제는 다 이런식이므로 앞으로의 공부 과정에서도 지나치게 허탈감을 느끼거나 충격을 받지 않도록 조심하기 바란다.
Deutsch 알고리듬 qiskit 코딩은 별도의 블로그에서 다루어 보기로 한다.
다음 유튜브 사이트는 Deutsch Algorithm 의 복잡성으로 인해 그 수학적 내용을 생략하고 코딩만 제시한다.
어서와! 양자 컴퓨팅은 처음이지? 6. 양자 알고리듬은 왜 빠른가?
https://www.youtube.com/watch?v=kLZfqkshogw&t=735s
https://akyrillidis.github.io/notes/quant_post_8
Introduction to quantum computing: The Deutsch algorithm.
Introduction to quantum computing: The Deutsch algorithm. Sources: “Quantum computing for computer scientists”, N. Yanofsky and M. Mannucci, Cambridge Press, 2008. This is part of a (probably) long list of posts regarding quantum computing. So far we d
akyrillidis.github.io